Product Summary
The FCQ30A03L is a Schottky Barrier Diode.
Parametrics
FCQ30A03L absolute maximum ratings: (1)Repetitive Peak Reverse Voltage VRRM: 30 V; (2)Repetitive Peak Surge Reverse Voltage VRRSM: 35(pulse width ≤ 1μs duty ≤ 1/50)V; (3)Average Rectified Output Current IO: 30 Tc=105℃ 50 Hz Full Sine Wave Resistive Load A; (4)RMS Forward Current IF(RMS): 33.3 A; (5)Surge Forward Current IFSM: 250 50Hz Full Sine Wave ,1cycle Non-repetitive A; (6)Operating JunctionTemperature Range Tjw: -40 to +150 ℃; (7)Storage Temperature Range Tstg: -40 to +150 ℃.
Features
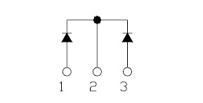
FCQ30A03L features: (1)Similar to TO-220AB Case; (2)Fully Molded Isolation; (3)Dual Diodes – Cathode Common; (4)Low Forward Voltage Drop; (5)High Surge Capability; (6)Tj=150 ℃ operation.
Diagrams

| Image | Part No | Mfg | Description | ![]() |
Pricing (USD) |
Quantity | ||||
|---|---|---|---|---|---|---|---|---|---|---|
![]() |
![]() FCQ30A03L |
![]() Other |
![]() |
![]() Data Sheet |
![]() Negotiable |
|
||||
| Image | Part No | Mfg | Description | ![]() |
Pricing (USD) |
Quantity | ||||
![]() |
![]() FCQ30A03L |
![]() Other |
![]() |
![]() Data Sheet |
![]() Negotiable |
|
||||
![]() |
![]() FCQ30A06 |
![]() Other |
![]() |
![]() Data Sheet |
![]() Negotiable |
|
||||
(China (Mainland))









